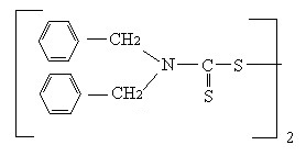
化学名称:二硫化四苄基秋兰姆

| 项 目 | 粉 料 | 加油粉料 | 颗 粒 |
| 外观(目测) | 淡黄色粉末(颗粒) | ||
| 初熔点 ℃ ≥ | 128.0 | 128.0 | 126.0 |
| 加热减量 % ≤ | 0.30 | 0.50 | 0.50 |
| 灰分 % ≤ | 0.30 | 0.30 | 0.30 |
| 筛余物(150μm)% ≤ | 0.10 | 0.10 | \ |
| 筛余物(63μm)% ≤ | 0.50 | 0.50 | \ |
| 添加剂% | \ | 0.1-2.0 | \ |
| 粒径mm | \ | \ | 1.50 |
上一篇:橡胶硫化促进剂 TRA(DPTT-6)
下一篇:橡胶硫化促进剂 TiBTD
<< 返回
